Misalkan terdapat sebuah tabel ketidakhadiran dua orang siswa pada kursus Bahasa Inggris dengan alasan sakit (S), izin (I) atau Tampa keterangan (TK)
Untuk masing-masing alasan ketidakhadiran diberi bobot pelanggaran berdasarkan tabel sebagai berikut
Jika dihitung total bobot pelanggaran kedua orang siswa tersebut, maka dilakukanlah proses perkalian matriks, yaitu :
Atau dalam bentuk matriks
Dari sini diperoleh kesimpulan :

Untuk masing-masing alasan ketidakhadiran diberi bobot pelanggaran berdasarkan tabel sebagai berikut
Jika dihitung total bobot pelanggaran kedua orang siswa tersebut, maka dilakukanlah proses perkalian matriks, yaitu :
Atau dalam bentuk matriks
Dari sini diperoleh kesimpulan :
Terdapat beberapa sifat pada perkalian matriks, yaitu :
1. A x B ≠ B x A
2. (A x B) x C = A x (B x C)
3. A (B + C) = AB + AC
4. Jika p dan q anggota real dan A dan B suatu matriks maka (pA) (qB) = (pq) AB
5. Jika At dan Bt adalah transpose matriks A dan B maka (A x B)t = Bt x At
6. Jika A matriks persegi maka A2 = A x A
Untuk lebih memahami penjelasan di atas, akan diuraikan dalam contoh soal sebagai berikut:
01. Tentukanlah hasil setiap perkalian matriks berikut ini
Jawab
02. Diketahui matriks
Tentukanlah matriks hasil dari AB + AC
Jawab
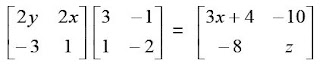
03. Tentukanlah nilai x, y dan z jika
Jawab
Maka :
z = 1 ………………………………….……..(1)
–2y – 4x = –10
y + 2x = 5
y = 5 – 2x ..……………………….... (2)
6y + 2x = 3x + 4
6y + 2x – 3x = 4
6y – x = 4 …………………………… (3)
(2) disubtitusikan ke (3), sehingga:
6(5 – 2x) – x = 4
30 – 12x – x = 4
–13x = –26 maka x = 2
y = 5 – 2(2) = 1
z = 1
0 komentar
Posting Komentar