Bentuk akar merupakan salah satu contoh bilangan irrasional. Bentuk ini pada awalnya sering diasumsikan sebagai produk dari teorema Pythagoras.
Sebagai contoh:

Dalam hal ini berlaku : Untuk a dan n adalah bilangan real tak negatif , maka

Bentuk akar dibagi dalam dua jenis, yakni
1. bentuk akar murni, misalnya

2. bentuk akar campuran yang merupakan hasil perkalian antara bilangan rasional dan irrasional, misalnya.

Namun beberapa bentuk akar dapat disederhanakan, seperti diuraikan pada contoh-contoh soal berikut ini
01. Sederhanakanlah
Jawab
02. Sederhanakanlah

Sifat-sifat operasi aljabar pada bentuk akar
Untuk a dan b bilangan real tak negatif serta m dan n adalah bilangan real sembarang, maka berlaku

Untuk memahami uraian di atas, ikutilah contoh-contoh soal berikut ini
03. Sederhanakanlah

Jawab

04. Sederhanakanlah

Jawab

Cara lain menyederhanakan bentuk akar adalah menyederhanakan bentuk pecahan yang memuat akar. Prosesnya adalah dengan merasionalkan penyebut pecahan
Merasionalkan penyebut pecahan dapat dilakukan dengan cara mengalikan pembilang dan penyebut dengan suatu bentuk tertentu sehingga penyebut pecahan tersebut menjadi rasional. Terdapat dua bentuk pengali dalam hal ini, yaitu :
Bentuk 1
Untuk memahami uraian di atas, ikutilah contoh-contoh soal berikut ini
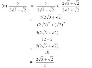
01. Sederhanakanlah

Jawab
Sebelum membahas bentuk 2, terlebih dahulu akan dikenalkan bentuk akar konjugat dari suatu bentuk akar, yakni :
Jika hasil kali dua bentuk akar adalah bilangan rasional, maka masing-masing dari kedua bentuk akar tersebut dinamakan faktor rasional atau bentuk akar konjugat dari bentuk akar yang lain

Dengan adanya bentuk konjugat ini, maka bentuk 2 dapat dirumuskan sebagai:
Bentuk 2

Sebagai contoh :
01. Sederhanakanlah setiap bentuk akar berikut ini :
Jawab

02. Sederhanakanlah setiap bentuk akar berikut ini :
Jawab
Sebagai contoh:
Dalam hal ini berlaku : Untuk a dan n adalah bilangan real tak negatif , maka
Bentuk akar dibagi dalam dua jenis, yakni
1. bentuk akar murni, misalnya
2. bentuk akar campuran yang merupakan hasil perkalian antara bilangan rasional dan irrasional, misalnya.
Namun beberapa bentuk akar dapat disederhanakan, seperti diuraikan pada contoh-contoh soal berikut ini
01. Sederhanakanlah
Jawab
02. Sederhanakanlah
Jawab
Sifat-sifat operasi aljabar pada bentuk akar
Untuk a dan b bilangan real tak negatif serta m dan n adalah bilangan real sembarang, maka berlaku
Untuk memahami uraian di atas, ikutilah contoh-contoh soal berikut ini
03. Sederhanakanlah
Jawab
04. Sederhanakanlah
Jawab
Cara lain menyederhanakan bentuk akar adalah menyederhanakan bentuk pecahan yang memuat akar. Prosesnya adalah dengan merasionalkan penyebut pecahan
Merasionalkan penyebut pecahan dapat dilakukan dengan cara mengalikan pembilang dan penyebut dengan suatu bentuk tertentu sehingga penyebut pecahan tersebut menjadi rasional. Terdapat dua bentuk pengali dalam hal ini, yaitu :
Bentuk 1
Untuk memahami uraian di atas, ikutilah contoh-contoh soal berikut ini
01. Sederhanakanlah
Jawab
Sebelum membahas bentuk 2, terlebih dahulu akan dikenalkan bentuk akar konjugat dari suatu bentuk akar, yakni :
Jika hasil kali dua bentuk akar adalah bilangan rasional, maka masing-masing dari kedua bentuk akar tersebut dinamakan faktor rasional atau bentuk akar konjugat dari bentuk akar yang lain
Dengan adanya bentuk konjugat ini, maka bentuk 2 dapat dirumuskan sebagai:
Bentuk 2
Sebagai contoh :
01. Sederhanakanlah setiap bentuk akar berikut ini :
Jawab
02. Sederhanakanlah setiap bentuk akar berikut ini :
Jawab
Ini kebanyakan gile
BalasHapussangat membantu dalam penyelesaian matematika
BalasHapusterimakasih, semoga sukses selalau
BalasHapusMantap
BalasHapus