Terdapat dua macam satuan sudut yang biasa dipakai sehari-hari, yaitu satuan derajat dan satuan radian.
Disamping itu, ada ukuran-ukuran sudut yang lebih kecil dari ukuran derajat, yakni ukuran menit (dilambangkan dengan ‘) dan ukuran detik. (dilambangkan dengan “). Ukuran sudut dalam derajat, menit dan detik mempunyai hubungan sebagai berikut :
1 derajat = 60 menit ditulis 1o = 60’ atau 1 menit = 1/60 derajat
1 menit = 60 detik ditulis 1’ = 60” atau 1 detik = 1/60 menit
Sehingga : 1 derajat = 3600 detik ditulis 1o = 3600” atau 1 detik = 1/3600 derajat
Untuk lebih jelasnya, ikutilah contoh soal berikut ini :
01. Nyatakan setiap sudut berikut ini ke dalam satuan derajat sampai menit dan detik
(a) 48,41o (b) 32,2625o
Jawab
(a) 48,41o = 48o + 0,41o
= 48o + (0,41 x 60)’
= 48o + 24,6’
= 48o + (24 + 0,6)’
= 48o + 24’ + (0,6 x 60)’
= 48o + 24’ + 36”
Jadi 48,41o = 48o 24’ 36”
(b) 32,2625o = 32o + 0,2625o
= 32o + (0,2625 x 60)’
= 32o + 15,75’
= 32o + 15’ + 0,75’
= 32o + 15’ + (0,75 x 60)’’
= 32o + 15’ + 45”
Jadi 32,2625o = 32o, 15’, 45”
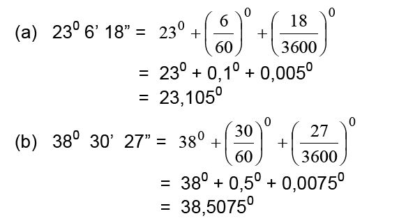
02. Nyatakan setiap satuan sudut sampai menit dan detik berikut ini ke dalam satuan derajat dengan desimal
(a) 23o 6’ 18” (b) 38o 30’ 27”
Jawab
Disamping itu, ada ukuran-ukuran sudut yang lebih kecil dari ukuran derajat, yakni ukuran menit (dilambangkan dengan ‘) dan ukuran detik. (dilambangkan dengan “). Ukuran sudut dalam derajat, menit dan detik mempunyai hubungan sebagai berikut :
1 derajat = 60 menit ditulis 1o = 60’ atau 1 menit = 1/60 derajat
1 menit = 60 detik ditulis 1’ = 60” atau 1 detik = 1/60 menit
Sehingga : 1 derajat = 3600 detik ditulis 1o = 3600” atau 1 detik = 1/3600 derajat
Untuk lebih jelasnya, ikutilah contoh soal berikut ini :
01. Nyatakan setiap sudut berikut ini ke dalam satuan derajat sampai menit dan detik
(a) 48,41o (b) 32,2625o
Jawab
(a) 48,41o = 48o + 0,41o
= 48o + (0,41 x 60)’
= 48o + 24,6’
= 48o + (24 + 0,6)’
= 48o + 24’ + (0,6 x 60)’
= 48o + 24’ + 36”
Jadi 48,41o = 48o 24’ 36”
(b) 32,2625o = 32o + 0,2625o
= 32o + (0,2625 x 60)’
= 32o + 15,75’
= 32o + 15’ + 0,75’
= 32o + 15’ + (0,75 x 60)’’
= 32o + 15’ + 45”
Jadi 32,2625o = 32o, 15’, 45”
02. Nyatakan setiap satuan sudut sampai menit dan detik berikut ini ke dalam satuan derajat dengan desimal
(a) 23o 6’ 18” (b) 38o 30’ 27”
Jawab
Ukuran sudut yang lain adalah satuan radian. Satu radian (ditulis 1 rad) didefinisikan sebagai ukuran sudut yang berada diantara dua jari-jari lingkaran dengan panjang busur sama dengan panjang jari-jari lingkaran itu.
Untuk lebih jelasnya, ikutilah contoh soal berikut ini :
03. Ubahlah sudut-sudut berikut ini kedalam satuan radian
(a) 30o (b) 120o (c) 225o
Jawab
04. Ubahlah sudut-sudut berikut ini kedalam satuan derajat
Jawab
0 komentar
Posting Komentar